اوجد قيمة x في كل مما يأتي مقربا الى اقرب عشر ان لزم ذلك، المعادلات الحسابية في مادة الرياضيات تعتبر الجزء الأهم الذي يركز عليه، من أجل التعرف على كافة تفاصيل المعادلة إن كانت تفاضلية جزئية أو علاقة حسابية، متعلقة بالجوانب التكاملية في تلك العمليات، لإيجاد الحلول التقريبية والغرض من هذه المعادلات هو العثور على كيفية التقنية على المعادلة في الطريقة، التي تعتمد عليها المعادلة الرياضية في المسائل الحسابية التقريبية.
اوجد قيمة x في كل مما يأتي مقربا الى اقرب عشر
بالإشارة إلى ما يتم الحديث عنه في المسألة الحسابية من أجل التعرف على الأرقام التقريبية للأرقام العشرية وهو ما سنتعرف عليه في نشاط اوجد قيمة x وهو ما نعتمد عليه في الحلول التحليلية والتقريبية للمعادلات التفاضلية، التي يوجد بها أعداد على أشكال كسرية من أجل فهم طريقة التباين الرقمي، والتعرف على التحليل الكسري التي تظهر نتائج الاشتقاق الحسابي، وفي ضوء هذه المعلومات نستنتج ما يلي :
- التعرف على التحليل الجزئي والكلي للعمليات التفاضلية.
- تصنيف المعادلات التفاضلية الجزئية والكلية.
- طرق حل المعادلات باستخدام الاشتقاق الحسابي.
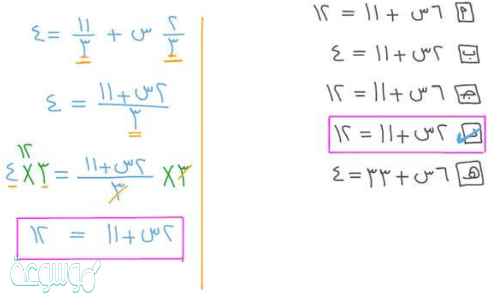
سؤال اوجد قيمة x في كل مما يأتي مقربا الى اقرب عشر ان لزم ذلك ؟
الإجابة : حل المعادلة (0 = x cos – 2x sin لجميع قيم x).
بالإشارة إلى ما تم الحديث عنه حول نشاط اوجد قيمة x نكون قد قدمنا لكم الإجابة بالاعتماد على الكتاب المدرسي وهو ما قمنا بإيضاحه بالاعتماد على المعادلة الحسابية التفاضلية، والتعرف على خطوات الاشتقاق الحسابية التي تعطي القيم الرقمية الأكثر صحة فيما يتعلق بالعملية الحسابية.
